دور الزراعة التقليدية في تحقيق التنمية الريفية في ولاية شمال كردفان (دراسة حالة أرياف محلية شيكان)

د. على عبد الرحمن سالم احمد1، عهود أحمد عبد القادر عبد الرحمن2، د. عز الدين محمد فضل الله عبد الله3، د. صلاح احمد منيل محمد4

1 أ. مساعد، جامعة كردفان، كلية الاقتصاد والدراسات التجارية، قسم الاقتصاد (السودان)

2 باحثة، جامعة كردفان، كلية الاقتصاد والدراسات التجارية، قسم الاقتصاد (السودان)

3 جامعة كردفان، كلية الاقتصاد والدراسات التجارية، قسم الاقتصاد (السودان)

4 جامعة كردفان، كلية الاقتصاد والدراسات التجارية، قسم الاقتصاد، (السودان)

The Role of Traditional Agriculture in Achieving Rural Development in North Kordofan State (A Case Study of Rural Areas in Sheikan Locality)

Dr. Ali Abdulrahman Salem Ahmed1, Uhud Ahmed Abdulqader Abdulrahman2, Dr. Izz Al-Din Mohammed Fadlallah Abdullah3, Dr. Salah Ahmed Muneil Mohammed4

1 Assistant Professor, University of Kordofan, Faculty of Economics and Commercial Studies, Department of Economics, Sudan;

2 Researcher, University of Kordofan, Faculty of Economics and Commercial Studies, Department of Economics, Sudan;

3 University of Kordofan, Faculty of Economics and Commercial Studies, Department of Economics, Sudan;

4 University of Kordofan, Faculty of Economics and Commercial Studies, Department of Economics, Sudan

DOI: https://doi.org/10.53796/hnsj69/5

المعرف العلمي العربي للأبحاث: https://arsri.org/10000/69/5

المجلد (6) العدد (9). الصفحات: 71 - 88

تاريخ الاستقبال: 2025-08-07 | تاريخ القبول: 2025-08-15 | تاريخ النشر: 2025-09-01

Download PDF

Cite / الاستشهاد

المستخلص: هدفت الدراسة الى التعرف على دور الزراعة التقليدية في تحقيق التنمية الريفية في ولاية شمال كردفان دراسة حالة ارياف محلية شيكان، ولتحقيق هذا الهدف اعتمدت الدراسة على الاستبانة كأداة لجمع البيانات، حيث جمعت البيانات من عينة غير احتمالية حيث تم توزيع (200) استبانة وبلغت نسبة الاسترداد (100%)، واستخدم المنهج الوصفي التحليلي، وللتأكد من درجة الاعتمادية في البيانات تم استخدام اختبار الفا كرونباخ، لاختبار فرضيات الدراسة تم الاعتماد على عدد من برامج الحزم الإحصائية للعلوم الاجتماعية (spss)، خلصت الدراسة الى نتائج اهمها: توجد علاقة ذات دلالة إحصائية بين أسلوب الزراعة التقليدي المتبع الذي بدوره يساهم بصورة فعالة في زيادة الإنتاج، توجد علاقة ذات دلالة إحصائية بين تسويق المحاصيل الزراعية ورفع المستوى المعيشي. وخلصت الدراسة الى توصيات اهمها: دعم برامج البحوث والارشاد الزراعي ورفع القدرات من اجل ترقية القطاع التقليدي، الاهتمام بصغار المنتجين وتقديم الدعم اللازم لهم حتي يتمكن صغار المنتجين من استخدام التقانة، الاهتمام بجانب التسويق الزراعي في المناطق الريفية، الاهتمام بالتمويل وادخال النظم الحديثة ونقل التقانة الى القطاع التقليدي من اجل زيادة الانتاج والانتاجية، الاهتمام بصيغ التمويل التجاري حتي يتمكن صغار ومتوسطي المنتجين من استخدام التقانة المناسبة لان كل البنوك تتعامل مع الاليات الزراعية الكبيرة في حين لا تجد الحيازة الصغيرة والتقليدية حظها.

الكلمات المفتاحية: الزراعة التقليدية، فعالية زيادة الإنتاج، المستوي المعيشي، الحيازة الصغيرة، الاليات الزراعية.

Abstract: This study investigates the role of traditional agriculture in promoting rural development in North Kordofan State, focusing on rural areas of Shikan locality. A descriptive-analytical approach was adopted, and data were collected through a questionnaire distributed to 200 respondents using a non-probability sampling method, achieving a 100% response rate. Data reliability was confirmed using Cronbach’s alpha, and statistical analyses were conducted with SPSS. The results revealed a significant relationship between traditional agricultural practices and enhanced production levels. Moreover, the study found a statistically significant link between the marketing of agricultural products and improvements in rural living standards. Based on these findings, the study recommends strengthening agricultural research and extension services, supporting small-scale farmers to adopt appropriate technologies, improving rural agricultural marketing systems, and developing financing mechanisms that address the needs of small and medium-scale producers who are often overlooked by conventional banking systems favoring large-scale agricultural operations.

Keywords: Traditional Agriculture, Production Efficiency, Standard of Living Rural Life, Agricultural Mechanisms.

المقدمة:

تُعد الزراعة الركيزة الأساسية للاقتصاد السوداني والعمود الفقري لمجتمعه، فهي ليست مجرد قطاع اقتصادي، بل هي بوتقة اجتماعية وثقافية تجمع أهل السودان، ومصدر الرزق والعمل للغالبية العظمى من سكانه. تشير التقديرات إلى أن القطاع الزراعي بشقيه النباتي والحيواني يساهم بنحو 35-40% من الناتج المحلي الإجمالي، ويوفر سبل العيش لأكثر من ثلثي القوى العاملة في البلاد، معظمهم في المناطق الريفية (البنك الدولي، 2022). إن تحقيق تنمية زراعية مستدامة لا يمثل هدفاً اقتصادياً فحسب، بل هو الضمانة الحقيقية لتحقيق الأمن الغذائي، وتعزيز الاستقرار الاجتماعي والسياسي في الريف، وتعميره عبر الحد من الهجرة إلى المدن. ولذلك، تبرز الزراعة كوسيلة أسرع وأكثر فاعلية لمناهضة الفقر وتحقيق أهداف التنمية الريفية الشاملة.

ينقسم القطاع الزراعي في السودان إلى نمطين رئيسيين: الأول هو القطاع الحديث المروي، الذي يعتمد على مشاريع الري الكبرى مثل مشروع الجزيرة والمناقل، ويركز على زراعة المحاصيل النقدية كالقطن وقصب السكر. أما النمط الثاني، وهو الأوسع انتشاراً والأكثر ارتباطاً بحياة السكان، فهو القطاع التقليدي المطري. يمتد هذا القطاع عبر مساحات شاسعة في شرق ووسط وغرب وجنوب البلاد، ويقوم على الزراعة المعتمدة على هطول الأمطار. ورغم أن هذا القطاع ظل في معظمه على الحال الذي كان عليه قبل الاستقلال، من حيث الاعتماد على الوسائل اليدوية البسيطة (مثل آلة “السلوكة” و”الطورية”)، والتقاوي المحلية المتوارثة عبر الأجيال، وممارسة الزراعة المتنقلة في بعض الأحيان، إلا أنه يلعب دوراً حيوياً لا يمكن إغفاله. فهو المصدر الرئيسي لغذاء ملايين السودانيين، خاصة من محاصيل الحبوب الأساسية كالذرة الرفيعة والدخن، كما يساهم بشكل كبير في حصيلة الصادرات من خلال محاصيل مثل السمسم والفول السوداني والصمغ العربي، الذي تعتبر ولاية شمال كردفان من أهم مناطق إنتاجه عالمياً (آدم وآخرون، 2020).

تبرز ولاية شمال كردفان كنموذج مثالي لدراسة هذا الواقع، حيث تمثل الزراعة التقليدية المطرية عصب الحياة الاقتصادية والاجتماعية لسكانها. تقع الولاية في حزام السافانا شبه الجاف، وتتميز بتربتها الرملية (المعروفة بتربة القوز)، وتعتمد بشكل شبه كلي على موسم الأمطار القصير والمتقلب. هذا الواقع البيئي فرض على المزارعين تطوير نظم زراعية متكيفة مع الظروف المحلية، تجمع بين زراعة المحاصيل الحقلية وتربية الماشية وزراعة الأشجار المدرة للدخل مثل شجر الهشاب (مصدر الصمغ العربي). ويعيش غالبية سكان الولاية في مناطق ريفية، يمارس معظمهم هذا النمط من الزراعة التقليدية التي تشكل مصدر دخلهم الأساسي، وتساهم بشكل مباشر في تحسين مستوياتهم المعيشية وتوفير الأمن الغذائي لأسرة.

تأتي هذه الدراسة لتسليط الضوء على الدور المحوري الذي تلعبه الزراعة التقليدية في تحقيق التنمية الريفية، مع التركيز بشكل خاص على أرياف محلية شيكان. تعتبر محلية شيكان، وعاصمتها مدينة الأبيض التي تمثل سوقاً رئيسياً للمحاصيل الزراعية، منطقة حيوية تعكس واقع ولاية شمال كردفان بأكمله. فأرياف هذه المحلية تجسد بوضوح العلاقة العضوية بين المزارع ودورات الطبيعة، حيث يرتبط نجاح الموسم الزراعي ارتباطاً وثيقاً بكمية وتوزيع الأمطار.

إن التنمية الريفية، بمفهومها الشامل، لا تقتصر على زيادة الدخل الفردي فحسب، بل تشمل تحسين الوصول إلى الخدمات الأساسية كالتعليم والصحة، وتطوير البنى التحتية، وتعزيز القدرة على الصمود في وجه الصدمات البيئية والاقتصادية (FAO, 2019). من هنا، تنبع أهمية هذه الدراسة في تحليل وفهم كيفية مساهمة الممارسات الزراعية التقليدية، رغم التحديات الجمة التي تواجهها مثل تذبذب الأمطار، وتدهور الأراضي، وضعف الوصول إلى التمويل والتقنيات المحسنة، في تحقيق هذه الأبعاد التنموية.

تهدف هذه الدراسة إلى الإجابة على سؤال رئيسي: ما هو الدور الفعلي الذي تؤديه الزراعة التقليدية في تحقيق التنمية الريفية بأبعادها الاقتصادية والاجتماعية في أرياف محلية شيكان؟ ويتفرع عن هذا السؤال عدة تساؤلات فرعية، منها: كيف تساهم الزراعة التقليدية في تحقيق الأمن الغذائي وتوليد الدخل للأسر الريفية في منطقة الدراسة؟ وما هي أبرز التحديات التي تواجه المزارعين التقليديين وتحد من مساهمتهم في التنمية؟ وما هي الآليات والفرص المتاحة لتعزيز هذا الدور وجعل الزراعة التقليدية أكثر استدامة وإنتاجية؟ إن فهم هذه الديناميكيات بعمق هو خطوة ضرورية لوضع سياسات تنموية فعالة تدعم هذا القطاع الحيوي، وتضمن استقرار وازدهار المجتمعات الريفية في السودان.

الدراسات السابقة:

الدراسات السابقة من اهم اساليب البحث فهي تساعد الباحث في التعرف على المشكلة التي يدرسها وتمكنه من التعرف علي جوانب المشكلة التي مازالت تحتاج الي اجراء مزيد الجهود البحثية وكذلك تساعد الباحث في معرفة التطور الذي شهدة العلم.

الهدف من تناول الدراسات السابقة ذات الصلة بمضوع دراسة وتحليل دور الزراعة التقليدية في تحقيق التنمية الريفية في ريف السودان يعتبر من المؤشرات المهمة للدراسة وذلك لمعرفة الاساليب والطرق التي اتبعتها تلك الدراسات ومعرفة اهم النتائج التي توصلت اليها كذلك عمل مقارنة بين هذه الدراسات لمعرفة اوجه القصور فيها والعمل علي معالجتها في هذه الدراسة.

دراسة: امل مهدي حسن العوني )2006م) :اهتمت الدراسة بصورة اساسية بتناول النظم الزراعية السائدة بمنطقة خور ابو حبل بالتركيز الخاص علي الموارد الطبيعية والبشرية المتاحة مما يمكن من تطوير عمليتي الانتاج والانتاجية واللتان يلعبان الدور الاساسي في تحديد لزيادة دخول المزارعين بمنطقة الدراسة هدفت الدراسة الي التعرف علي الخصائص الديمغرافية والعوامل الاقتصادية والاجتماعية لسكان منطقة خور ابو حبل وتحليل ومقارنة النظم الزراعية في المشروع لتحديد كفاءة استخدام الموارد في كل نظام وذلك من خلال دراسة وتحليل كفاءة مدخلات الانتاج والعمليات الزراعية بالأ ضافة الي محددات الانتاج الزراعي في منطقة خور ابو حبل والتي تشمل القطاع المطري والقطاع المروي واختبرت الدراسة عدد من الفرضيات اهمها، الخصائص الديموغرافية بالإضافة الي العوامل الاقتصادية والاجتماعية لسكان مشروع خور ابو حبل تؤثر علي العملية الانتاجية بمشاريع القطاع الخاص والعام، الكفاءة الانتاجية في مشاريع القطاع الخاص اعلي من مشاريع القطاع العام في منطقة خور ابو حبل، استخدام التقنيات التقليدية وارتفاع التكاليف سببا لتدني التركيبة المحصولية المطبقة حاليا بمشاريع القطاع الخاص والعام بخور ابو حبل، وتوصلت الدراسة الي نتائج اهمها تطوير جهاز التسويق ودعم امكانياته بالقدر الذي يمكنه من وضع الخطط لترقية الصادرات، انشاء اسواق دائمة للمحاصيل بدلا من الاسواق الاسبوعية، توفير التمويل الكافي للعمليات الانتاجية في الوقت المناسب مع السعي لتحديد تسويق محصول القطن وتوفير المدخلات الزراعية باقل تكلفة ممكنة، الاهتمام بالتعليم ومحو الامية والرعاية الصحية والمياه الصالحة للشرب مع ايجاد وسائل حديثة لنقل المياه، رفع كفاءة عمل التعاونيات الزراعية للمساعدة في توفير المدخلات الزراعية والتمويل الازم وضمان تسهيل الغروض، دعم البحوث في مجالات الانتاج والتسويق لمشروعات القطاع الخاص والعام مع توفير المعلومات عن انشطة المشروع فب شكل تقرير دورية سنوية.

دراسة: على عبد الرحمن سالم احمد (2018م):اجريت هذه الدراسة بولاية شمال كردفان خلال الفترة 2016- 2018، تمثلت مشكلة الدراسة في عدم استدامة التنمية في الريف هدفت الدراسة الي معرفة معوقات التنمية في ارياف الولاية مع التركيز علي المشكلة الرئيسية المتمثلة في يعاني الريف السوداني من مشاكل كثيرة من بينها التخلف الزراعي وضعف البنيات التحتية للتعليم والصحة والمياه وعدم وجود صناعات بالإضافة لعدم القدرة علي ال الاستغلال الامثل للموارد والامكانيات المتاحة في الريف، واختبرت الدراسة عدد من اهمها، الزراعة في ريف ولاية شمال كردفان تواجه مشاكل في الري والتخزين والتسويق وتعاني من الآفات، الاعتماد علي المراعي الطبيعية كمصدر رئيسي في تغذية الماشية وضعف الخدمات البيطرية وانتشار الامراض يعد عائق لتنمية الثروة الحيوانية في ريف ولاية شمال كردفان، عدم توفر مياه الشرب بالقدرة الكافي مع عدم الاستخدام الامثل للمتوفر منها من العوائق الاساسية للتنمية في ريف ولاية شمال كردفان، تدنى الخدمات الصحية من سمات ريف ولاية شمال كردفان، ضعف التعليم الاساسي من سمات ريف ولاية شمال كردفان يهاجر سكان ريف ولاية شمال كرفان الي المدن لتدني البنية التحتية للريف مما يؤدى الي نقص القوة العاملة في مجال الزراعة والرعي، توصلت الدراسة الي نتائج وتوصيات اهمها :

الاهتمام بالقطاع الزراعي في ولاية شمال كردفان من خلال وضع خطط تنموية للقطاع الزراعي بريف الولاية، الاهتمام بقطاع الثروة الحيوانية في ريف ولاية شمال كردفان من خلال العمل علي مكافحة الامراض التي يتعرض لها وتوفير مياه الشرب لها من خلال انشاء الدوانكى وتوفير مراكز الخدمات البيطرية في مناطق تواجد الثروة الحيوانية وانشاء مراكز ابحاث متخصصة لتطوير قطاع الثروة الحيوانية بريف الولاية وتوفير مياه الشرب لسكان ريف ولاية شمال كردفان من خلال حفر الابار وانشاء المضخات وتوعية سكان القري بضرورة ترشيد استخدام المياه المتوفرة، تطوير البنيات الاساسية للصحة لريف ولاية شمال كردفان وتطوير الاساسية للتعليم بريف ولاية شمال كردفان وضع خطط تنموية لريف ولاية شمال كردفان تحد من هجرة سكان ريف الولاية الي المدن

دراسة: يعقوب الهجا ابو الحسن الهجا (2013م): اجريت هذه الدراسة بولاية شمال كردفان في الفترة من نوفمبر2010- 2013، بهدف دراسة سلسلة القيمة لإنتاج وتسويق سلعة الفول السوداني مع التركيز علي المشكلة الرئيسية المتمثلة في زراعة الفول السوداني اساسا كمحصول نقدي يباع في الاسواق ونجد ان عدم استقرار الاسعار في الاسواق خلق عنصر مخاطرة لمزراعى محصول الفول السوداني نجد ان هيكل تسويق المحصول يعتمد اساسا علي الاسواق الريفية علي مستوى القري ثم الاسواق الثانوية بالمدن ثم الاسواق النهاية بمدينة الابيض ويلاحظ ان الهامش التسويقي عالي وذلك لبعد مسافات الترحيل وازدياد الوسطاء والضرائب العالية بالأسواق النهائية هذا بالإضافة الي وجود مشاكل اخري ترتبط بتسويق السلع الزراعية مثل نقص البنية التحتية وازدياد عدد المتعاملين في السوق من وسطاء وتجار التي تؤدي تحريف السوق وتشويهه وارتفاع الهامش التسويقي، لذلك جاءت الدراسة كمحاولة لتسليط الضوء علي سلسلة انتاج وتسويق الفول السوداني بولاية شمال كردفان باعتباره اهم محصول نقدي بالولاية لكنه مختلف من حيث المساحات المزروعة والإنتاج، اختبرت الدراسة عدد من الفرضيات اهمها ان هنالك عدة قنوات لإنتاج وتسويق الفول السوداني وان المنتج يلعب الدور الاساسي في سلسلة القيمة المضافة كسلعة الفول السوداني بولاية شمال كردفان، وجود تكامل بين اسواق الفول السوداني الريفية الثانوية والنهائية بالولاية وتفترض الدراسة انه يواجه كل من فئات المنتجين والتجار عدد من المعوقات التي تقلل من دورهم في انتاج وتسويق السلعة، توصلت الدراسة الي نتائج وتوصيات اهمها العمل علي تذليل معوقات الانتاج المتمثلة في توفير التمويل مما يحسن من الانتاج ويقلل من تكاليف الانتاج، تحسين البيئة التسويقية والعمل علي ربط الاسواق لخلق مزيد من التكامل ورفع الكفاءة التسويقية وزيادة السعر الذى يستلمه المنتج مما يكون حافز له لزيادة الانتاج، توفير التمويل للتجار وتقليل الاعباء المالية عليهم بغرض تطوير تجارة المحصول والعمل علي تذليل العقبات التي تؤدي عدم تكامل اسواق الفول السوداني بالولاية.

دراسة: سحر عبد الحافظ عبد العزيز (2004م): السودان من الاقطار التي يعتمد اقتصادها علي الانتاج الزراعي لذا تهتم الحكومات اهتمام كبيرا بتطوير وتنمية القطاع الزراعي وقد تمثل هذا الاهتمام في توفير اللازم له بتوجيه معظم موارد البنوك العاملة لتمويله باعتباره من القطاعات ذات الالوية وعلي الرغم من وجود هذه التوجيه الا ان نسبه التمويل الموجهة نحو الزراعة لم تصل الي الحد المطلوب ويعتبر بيع السلم احد طرق الاقراض الزراعي المطبقة حديثا في السودان .و من الملاحظ ان نسبة التمويل الموجهة للإنتاج الزراعي في صورة سَلم قليلة نسبيا

السلم الزراعي هو استعجال راس المال وتقديمة وهو بيع اجل بعاجل وقد تمكنت المصارف الاسلامية من التوصل بصيغة السلم الي تمويل النشاطات الزراعية فتكون مصلحة المصرف الاسلامي في الحصول علي مواد آجلة بسعر عاجل رخيص نسبيا ثم يقوم بعد قبضها بتسويقها بثمن حاضر او بثمن مؤجل وتتمحور مشكه الدراسة في معرفة لماذا تحجم البنوك التجارية السودانية عن تمويل السلم؟ وقد تم استنباط الافتراضات التالية:-

نسبة الخطر العالية المقترنة بالاستثمار الزراعي هي السبب الرئيسي لذلك الاحجام احجام البنوك عن التمويل بالسلم ادى الى توجيه اغلب اموالها نحو الصيغ الاخرى، علي الرغم من ضعف نسبة التمويل بالسلم ساهمت هذه الصيغة مع العوامل الاخرى في تنمية القطاع الزراعي وزيادة نسبة مساهمته في الناتج المحلي وتوصلت الدراسة الي عدد من النتائج والتوصيات اهمها، توسيع اتشار البنوك لتتوجد بالقرب من المناطق الزراعية لتلافي مشاكل التحصيل والترحيل والتخزين، تفعيل اقسام فنية متخصصة لضبط وتوجيه التمويل الزراعي بالبنوك التجارية للتأكد من ان الصرف يذهب الي الزراعة في مراحلها المحددة، التعامل مع المزارعين في شكل تعاونيات لمنح مزيد من الثقة للمزارعين فالاتحادات والتعاونيات لها ثقل اكبر في التفاوض مع البنك والوصول للسعر المناسب، انشاء صندوق ضمان للإقراض الزراعي في السودان يكون الغرض من انشاءه ضمان تسديد القروض وايضا تعويض المزارعين من الضرر الناتج من الكوارث الطبيعية

دراسة: عوض محمد خيري (2005م): تناولت الدراسة دور التعاونيات الزراعية في التنمية الريفية بدراسة مشروع النهود للائتمان التعاوني والوقوف علي اثر التعاونيات الزراعية بمنطقة عمل المشروع علي الاعضاء والمنطقة ومدي اسهامه في التنمية الريفية بمتطلباتها الاقتصادية والاجتماعية فيما يتعلق بالدخل والمستوي المعيشي والخدمات الاجتماعية وتوفرها والتغير الذي تم احداثه في انماط السلوك والعادات والتقاليد والوصول لمجتمع اكثر استقرار واكثر تنظيمآ. فكان من الضرورة معرفة مدي اسهام هذه التعاونيات الزراعية في التنمية الريفية ومتطلباتها، وتمثلت أهمية الدراسة في إلغاء الضوء علي النظام التعاوني وما يحمله من خصائص كوسيلة من وسائل التنمية الريفية ودراسة دور التعاونيات الزراعية في احداث التنمية الريفية، وهدفت الدراسة إلي اهداف عامة وخاصة تمثلت الاهداف العامة في دراسة دور التعاونيات الزراعية في التنمية الريفية في السودان مع اخذ مشروع النهود للائتمان التعاوني من 1988 الي 1998 كحالة دراسة، وتوصلت الدراسة إلى عدد من النتائج اهمها تأكد من أدبيات البحث في النظام التعاوني أحد الحلول المهمة لإحداث التنمية الريفية، تأكد الدراسة من تركيز الجهود بالمشروع على تمويل العمليات الزراعية وضعف الاهتمام بالجوانب الاقتصادية والاجتماعية الأخرى التي تمكن التعاونيات الزراعية من تنمية مواردها وقدرتها لخدمة اعضائها والمنطقة، وقد أوصت الدراسة بضرورة انخراط التعاونيات الزراعية في البنيان التعاوني القائم حتى لا يكون جزر معزولة بما يمكنها من الاستفادة من مزايا الانتاج الكبير سواء فيما يتعلق بالتسويق لمنتجاتها او التخزين والاستفادة من تكامل الجهود ومقدرات الحركة التعاونية في كافة الجوانب الخدمية والاستهلاكية كذلك تبادل الخبرات والمعارف.

مشكلة الدراسة

تُعد الزراعة التقليدية في ولاية شمال كردفان، وعلى وجه الخصوص في أرياف محلية شيكان، مفارقة تنموية بحد ذاتها. فمن ناحية، يمثل هذا القطاع شريان الحياة الاقتصادي والاجتماعي للغالبية العظمى من السكان، ومصدراً رئيسياً للأمن الغذائي المحلي، وحجر الزاوية في النسيج الاجتماعي الريفي. ومن ناحية أخرى، يواجه هذا القطاع تحديات هيكلية وبيئية عميقة، مثل الاعتماد الكلي على الأمطار المتذبذبة، وتدهور الموارد الطبيعية، واستخدام أساليب إنتاجية متوارثة قد لا تتناسب مع المتغيرات المناخية والاقتصادية الحالية، بالإضافة إلى ضعف البنى التحتية وقنوات التسويق.

من هذه المفارقة، تنبع مشكلة الدراسة، التي تتمثل في الغموض المحيط بحجم وطبيعة الدور الفعلي الذي تلعبه الزراعة التقليدية في تحقيق التنمية الريفية المستدامة في ظل هذه التحديات. على الرغم من الاعتراف بأهميتها، إلا أن هناك فجوة معرفية في فهم كيفية ترجمة الأنشطة الزراعية التقليدية إلى نتائج تنموية ملموسة ومستدامة على المستوى المعيشي والخدمي والبيئي في منطقة الدراسة.

بناءً على ذلك، تسعى الدراسة إلى الإجابة عن السؤال الرئيسي التالي:

ما هي طبيعة وحدود الدور الذي تؤديه الزراعة التقليدية في تحقيق التنمية الريفية بأبعادها الاقتصادية والاجتماعية في أرياف محلية شيكان بولاية شمال كردفان؟

ويتفرع عن هذا السؤال المحوري الأسئلة الفرعية التالية:

  1. إلى أي مدى تساهم المحاصيل المنتجة بالطرق التقليدية في تعزيز الدخل النقدي للأسر الريفية في محلية شيكان؟
  2. ما هي طبيعة العلاقة بين الأساليب الزراعية التقليدية السائدة ومستويات الإنتاج والإنتاجية الزراعية في منطقة الدراسة؟
  3. كيف تؤثر آليات وقنوات التسويق الحالية للمحاصيل التقليدية على المستوى المعيشي للمزارعين في أرياف شيكان؟
  4. ما هي أبرز المعوقات (الإنتاجية، التسويقية، والمؤسسية) التي تحد من فعالية دور الزراعة التقليدية في دعم التنمية الريفية؟

أهداف الدراسة:

انطلاقاً من مشكلة الدراسة وأسئلتها، يهدف البحث بشكل رئيسي إلى تحليل وتقييم دور الزراعة التقليدية كأداة لتحقيق التنمية الريفية في ولاية شمال كردفان، مع التركيز على حالة أرياف محلية شيكان. ولتحقيق هذا الهدف العام، تسعى الدراسة إلى تحقيق الأهداف الفرعية المحددة التالية:

  1. تقييم المساهمة الاقتصادية للمحاصيل التقليدية في دخل الأسر الريفية، وتحديد مدى اعتماد هذه الأسر عليها كمصدر رئيسي للعيش.
  2. تحليل الأساليب الزراعية التقليدية المتبعة وتحديد أثرها على حجم الإنتاج والإنتاجية، ورصد مدى كفاءتها في ظل الظروف البيئية السائدة.
  3. دراسة منظومة التسويق للمحاصيل التقليدية وتحديد مدى كفاءتها في تحقيق عوائد مجدية للمزارعين تساهم في رفع مستواهم المعيشي.
  4. تحديد وتشخيص أبرز المشاكل والمعوقات التي تواجه المزارعين في قطاع الزراعة التقليدية، سواء في مرحلة الإنتاج أو ما بعد الحصاد.
  5. الخروج بتوصيات ومقترحات علمية وعملية يمكن أن تساهم في معالجة المشاكل المرصودة، وتعزيز الدور التنموي للزراعة التقليدية في منطقة الدراسة.

أهمية الدراسة:

تكتسب هذه الدراسة أهميتها من خلال بعدين متكاملين، هما الأهمية العلمية والأهمية العملية:

  • الأهمية العلمية: تنبع الأهمية العلمية من كون هذه الدراسة تسعى إلى سد فجوة في الأدبيات الزراعية والاقتصادية التي تتناول منطقة شمال كردفان. ففي حين أن هناك دراسات عامة عن الزراعة في السودان، إلا أن هناك ندرة في الأبحاث الميدانية المتعمقة التي تربط بشكل تحليلي بين الممارسات الزراعية التقليدية ومؤشرات التنمية الريفية على مستوى محلي دقيق (أرياف شيكان). ستقدم الدراسة بيانات تجريبية وتحليلات واقعية من الميدان، مما يثري المعرفة الأكاديمية حول ديناميكيات الاقتصاد الريفي في المناطق الجافة وشبه الجافة، ويمكن أن تكون أساساً لدراسات مقارنة مستقبلية.
  • الأهمية العملية: على الصعيد العملي، تكمن أهمية الدراسة في نتائجها وتوصياتها التي ستكون ذات فائدة مباشرة لعدة جهات. أولاً، لصانعي السياسات والجهات الحكومية (مثل وزارة الزراعة الولائية والمحلية)، حيث ستقدم لهم رؤية واضحة عن واقع الزراعة التقليدية ومعوقاتها، مما يساعد في تصميم برامج دعم وإرشاد أكثر فاعلية. ثانياً، للمنظمات التنموية الوطنية والدولية العاملة في مجال الأمن الغذائي ومكافحة الفقر، حيث ستوفر لهم الدراسة معلومات دقيقة لتوجيه تدخلاتهم. وأخيراً، للمزارعين أنفسهم وجمعياتهم، حيث يمكن لنتائج الدراسة أن تزيد من وعيهم بالتحديات المشتركة وتمكنهم من المطالبة بحلول تستجيب لاحتياجاتهم الحقيقية.

فرضيات الدراسة:

تنطلق الدراسة من مجموعة من الفرضيات المبدئية التي تمثل إجابات أولية ومحتملة لأسئلة البحث، والتي سيتم اختبار مدى صحتها من خلال التحليل وجمع البيانات الميدانية. الفرضيات هي كالتالي:

  1. توجد علاقة ارتباطية موجبة وذات دلالة إحصائية بين درجة الاعتماد على زراعة المحاصيل التقليدية (الذرة، الدخن، السمسم، الفول السوداني) ومستوى الدخل السنوي للأسر في أرياف محلية شيكان.
  2. الأساليب الزراعية التقليدية المتبعة تساهم في تحقيق الأمن الغذائي الأسري، لكنها لا تصل إلى الكفاءة الإنتاجية المثلى التي تمكّن من تحقيق فوائض اقتصادية كبيرة بشكل مستمر.
  3. كفاءة قنوات تسويق المحاصيل الزراعية التقليدية تلعب دوراً وسيطاً وحاسماً في ترجمة الإنتاج الزراعي إلى تحسن ملموس في المستوى المعيشي للمزارعين.
  4. يمثل بُعد الأسواق الرئيسية عن مناطق الإنتاج وضعف البنية التحتية للنقل عائقاً أساسياً يقلل من صافي الأرباح التي يحققها المزارعون ويزيد من معاناتهم في تسويق محاصيلهم.

منهج الدراسة:

يستعرض هذا الجزء الإجراءات المنهجية التي تم اتباعها لتحقيق أهداف الدراسة واختبار فرضياتها. ويشمل ذلك تحديد منهج البحث وتصميمه، وتعريف متغيرات الدراسة ونموذجها، ووصف مجتمع الدراسة وعينتها، وأداة جمع البيانات وإجراءات التحقق من صدقها وثباتها، وأخيراً الأساليب الإحصائية المستخدمة في تحليل البيانات.

منهج الدراسة وتصميمها:

لتحقيق أغراض هذه الدراسة، تم تبني المنهج الكمي (Quantitative Approach)، وتحديداً تم استخدام التصميم الوصفي التحليلي (Descriptive-Analytical Design). يهدف الشق الوصفي من هذا التصميم إلى تقديم صورة دقيقة ومفصلة لواقع الزراعة التقليدية في أرياف محلية شيكان، وخصائص المزارعين، ومستوى التنمية الريفية السائد. أما الشق التحليلي، فيتجاوز مجرد الوصف ليصل إلى تحليل طبيعة العلاقات الارتباطية بين متغيرات الدراسة، وتفسير أثر المتغير المستقل (الزراعة التقليدية) على المتغير التابع (التنمية الريفية)، واختبار الفرضيات التي انبثقت عن الإطار النظري للمشكلة. كما يمكن اعتبار تصميم الدراسة مسحياً مقطعياً (Cross-Sectional Survey)، حيث تم جمع البيانات من عينة من مجتمع الدراسة في نقطة زمنية محددة، مما يسمح بتحليل الوضع الراهن واستكشاف العلاقات بين الظواهر المختلفة كما هي في الواقع

نموذج الدراسة ومتغيراتها:

تم بناء نموذج مفاهيمي للدراسة كما هو موضح في الشكل (1) يوضح العلاقة السببية المفترضة بين متغيرات الدراسة.

شكل (1): نموذج الدراسة المقترح

المصدر: إعداد الباحث بناءً على أدبيات الدراسة (2025)

يمثل المتغير المستقل في هذه الدراسة الزراعة التقليدية. وقد تم قياس هذا المتغير من خلال مجموعة من المؤشرات العملية التي تعكس ممارسات وخصائص هذا النمط الزراعي، والتي تشمل مساحة الأرض المزروعة ونوع حيازتها، وأنواع المحاصيل الرئيسية المزروعة (ذرة، دخن، سمسم، فول سوداني، كركديه)، ومدى الاعتماد على التقنيات اليدوية مقابل الميكنة، بالإضافة إلى استخدام البذور المحلية مقابل المحسنة، والاعتماد على العمالة الأسرية.

أما المتغير التابع فهو تحقيق التنمية الريفية. ونظراً لكونه مفهوماً مركباً، فقد تم قياسه من خلال مجموعة من المؤشرات الأساسية التي تعكس أبعاده الاقتصادية والاجتماعية. تشمل هذه المؤشرات زيادة الإنتاج والدخل، والذي يقاس من خلال كمية الإنتاج السنوي والدخل النقدي المحقق من بيع الفائض، وتحسن المستوى المعيشي، الذي يقاس بمؤشرات ملكية الأصول (مثل الماشية ووسائل النقل)، ونوع المسكن، والوصول إلى الخدمات الأساسية كالتعليم والصحة، وأخيراً تحقيق الأمن الغذائي الأسري، الذي يقاس بمدى كفاية الإنتاج للاستهلاك السنوي للأسرة.

مجتمع وعينة الدراسة:

يتكون مجتمع الدراسة من جميع أرباب الأسر الذين يمارسون الزراعة التقليدية كمصدر رئيسي للدخل في القرى الواقعة ضمن النطاق الجغرافي لأرياف محلية شيكان بولاية شمال كردفان. ونظراً لاتساع الرقعة الجغرافية وتشتت القرى، تم استخدام أسلوب أخذ العينات العنقودية متعددة المراحل (Multi-stage Cluster Sampling)، وهو أسلوب احتمالي يضمن تمثيلاً جيداً للمجتمع. وقد تم تطبيقه عبر مرحلتين؛ تمثلت المرحلة الأولى في حصر جميع الوحدات الإدارية (القرى والتجمعات السكانية) في أرياف محلية شيكان، واختيار عدد (10) قرى بشكل عشوائي لتكون بمثابة العناقيد الأولية. أما المرحلة الثانية، فتم خلالها، داخل كل قرية (عنقود) تم اختيارها، الحصول على قائمة بالأسر التي تعتمد على الزراعة التقليدية، ومن ثم تم اختيار عينة عشوائية بسيطة من هذه الأسر.

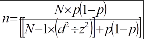
ولتحديد حجم العينة المناسب، تم استخدام معادلة كوكران للمجتمعات الكبيرة، وهي معادلة معتمدة لتحديد حجم العينة في المسوح الاجتماعية:

حيث يمثل الرمز (n) حجم العينة المطلوب، ويمثل (N) الحجم الكلي للمجتمع. أما الرمز (z) فيشير إلى الدرجة المعيارية المقابلة لمستوى الثقة المحدد عند 95%، والتي تبلغ قيمتها (1.96). ويعبر الرمز (p) عن نسبة توفر الخاصية في المجتمع، والتي تم افتراضها عند (0.5) بهدف الوصول إلى أكبر حجم ممكن للعينة وبالتالي زيادة دقة النتائج. وأخيراً، يمثل الرمز (d) هامش الخطأ المسموح به، والذي تم تحديده عند (0.05). وبتطبيق هذه المعادلة، وبعد تقدير حجم المجتمع، بلغ حجم العينة المستهدف (200) مفردة (مزارع)، وهو حجم مناسب لإجراء التحليلات الإحصائية المتقدمة.

أداة جمع البيانات

تم الاعتماد على الاستبانة (Questionnaire) كأداة رئيسية لجمع البيانات الأولية من أفراد العينة. وقد تم تصميم الاستبانة لتشمل ثلاثة أقسام رئيسية؛ يتناول القسم الأول البيانات الديموغرافية والاجتماعية والاقتصادية لأفراد العينة (العمر، المستوى التعليمي، حجم الأسرة، إلخ). بينما خُصص القسم الثاني لأسئلة تقيس المتغير المستقل (ممارسات الزراعة التقليدية)، أما القسم الثالث فيحتوي على أسئلة تقيس المتغير التابع (مؤشرات التنمية الريفية). وقد تم استخدام مقياس ليكرت الخماسي (5-point Likert Scale) في معظم فقرات القسمين الثاني والثالث، والذي يتدرج من (موافق بشدة = 5) إلى (غير موافق بشدة = 1).

أساليب التحليل الإحصائي

لمعالجة بيانات الدراسة التي تم جمعها عبر الاستبانة، تم الاعتماد على الحزمة الإحصائية للعلوم الاجتماعية (SPSS) الإصدار 23. وقد تم توظيف عدد من الأساليب الإحصائية لتحقيق أهداف الدراسة؛ حيث استُخدمت الإحصاءات الوصفية المتمثلة في التوزيعات التكرارية والنسب المئوية لوصف خصائص عينة الدراسة، كما تم حساب الوسط الحسابي لقياس الأهمية النسبية للعبارات وتحديد اتجاهات الإجابات، والوسيط لتحديد القيمة التي تتوسط البيانات ترتيبياً. وللتأكد من دلالة الفروق بين الإجابات، تم استخدام اختبار مربع كاي (Chi-Square) لجودة التوفيق، وذلك بهدف اختبار مدى تجانس آراء أفراد العينة.

الأهمية النسبية:

تعتبر الأهمية النسبية عن مدى أهمية عبارات أداة البحث، ويتم حذف العبارات ذات الأهمية النسبة الضعيفة لأنها لا تخدم هدف البحث.

النسبة المئوية للأهمية

90 – 100

89 – 70

69 – 50

49 – 30

29 – 20

درجة الأهمية

عالية جداً

عالية

متوسطة

ضعيفة

ضعيفة جداً

تحسب النسبة المئوية للأهمية النسبية عن طريق المعادلة التالية:

  • حيث 5 تمثل وزن مقياس لكرت الخماسي.

ثبات وصدق أداة الدراسة:

للتأكد من أن الأداة تقيس بالفعل ما صُممت لقياسه، تم التحقق من صدق المحتوى وذلك من خلال عرض الاستبانة في صورتها الأولية على لجنة من المحكمين المختصين في مجالات الاقتصاد الزراعي والتنمية الريفية والإحصاء من جامعة كردفان وجامعة الخرطوم. وبناءً على ملاحظاتهم وتوجيهاتهم، تم تعديل بعض الفقرات وإعادة صياغتها لتصل إلى صورتها النهائية. ولقياس مدى اتساق وموثوقية الأداة، تم حساب معامل الثبات باستخدام معامل ألفا كرونباخ (Cronbach’s Alpha) على عينة استطلاعية. بلغت قيمة المعامل (0.694)، وهي قيمة تزيد عن الحد الأدنى المقبول في البحوث الاجتماعية (0.60)، مما يشير إلى أن أداة الدراسة تتمتع بدرجة مقبولة من الثبات ويمكن الاعتماد على نتائجها. لاختبار مدى توافر الثبات والاتساق الداخلي بين الإجابات على الأسئلة تم احتساب معامل المصداقية ألفا كرونباخ (Alpha-Cronbach) والثبات لعبارات الفروض البحث كما في الجدول رقم (1).

جدول رقم (1) معامل المصداقية ألفا كرونباخ لعبارات المتغيرات الدراسة

متغيرات الدراسة

عدد العبارات

الاعتمادية

الفرضية الأولى

4

0.556

الفرضية الثانية

4

0.579

جمع متغيرات الدراسة

8

0.694

المصدر: إعداد الباحث باستخدام الحزم الإحصائية SPSS (2025م)

نتائج اختبار الثبات والصدق للاستبانة

تشير النتائج الواردة في الجدول رقم (1) إلى أن اختبار الثبات الداخلي للاستبانة باستخدام معامل ألفا كرونباخ (Cronbach’s Alpha) قد حقق نتائج مرضية عبر جميع محاور الدراسة. فقد بلغت القيمة الإجمالية لمعامل ألفا كرونباخ (0.694)، وهي قيمة تفوق الحد الأدنى المقبول إحصائياً والبالغ (0.60)، مما يدل على توافر درجة عالية من الاتساق الداخلي بين عبارات الاستبانة. وعلى مستوى الفرضيات المحددة، أظهرت النتائج أن الفرضية الأولى، والمكونة من أربع عبارات، حققت معامل ألفا كرونباخ بقيمة (0.556)، فيما بلغ معامل الصدق المقترن بها (0.746). أما الفرضية الثانية، والمكونة أيضاً من أربع عبارات، فقد سجلت معامل ألفا كرونباخ بقيمة (0.579).

فيما يتعلق بمعامل الصدق (Validity Coefficient)، فقد تم حسابه من خلال استخراج الجذر التربيعي لمعامل الثبات، حيث بلغت قيمته (0.833). تعكس هذه القيمة مستوى عالياً من صدق الأداة، نظراً لاقترابها من الواحد الصحيح، مما يؤكد قدرة الاستبانة على قياس المتغيرات المستهدفة بدقة وموثوقية عالية. وعليه، يمكن الاستنتاج أن الأداة المستخدمة في هذه الدراسة تتمتع بخصائص سيكومترية مقبولة، مما يضفي الثقة على النتائج المستخلصة منها ويدعم صحة الاستنتاجات المبنية عليها.

اختبار فرضيات الدراسة:

تحليل ومناقشة نتائج الفرضية الأولى : العلاقة بين أسلوب الزراعة التقليدي المتبع وفعالة في زيادة الإنتاج: تنص الفرضية على انه توجد علاقة إيجابية بين الزراعة التقليدي المتبع وفعالة في زيادة الإنتاج:

أظهرت نتائج التحليل الإحصائي للفرضية الأولى، التي تبحث في دور الممارسات الزراعية التقليدية في زيادة الإنتاج، أن جميع عباراتها تتمتع بأهمية نسبية عالية ودلالة إحصائية قوية. وقد تم استخدام اختبار مربع كاي (Chi-Square) لتقييم جودة التوفيق، حيث كشفت النتائج عن وجود فروق ذات دلالة إحصائية عند مستوى معنوية (p < 0.001) لجميع العبارات، مما يؤكد قوة العلاقة بين هذه الممارسات وتصورات المزارعين حول تأثيرها على الإنتاج. ويلخص الجدول (2) النتائج الرئيسية لعبارات الفرضية.

الجدول رقم (2) الأهمية النسبية واختبار جودة التوفيق لعبارات الفرضية الأولى

العبارات

كآي تربيع

درجة

الحرية

الاحتمالية

كآي تربيع

الانحراف

الوسط

الأهمية

معياري

حسابي

النسبية

أسلوب الزراعية التقليدي يساهم في زيادة الإنتاج

233.150

4

.000

0.978

4.33

87%

تساهم التقاوي المحلية في زيادة الإنتاج

233.600

4

.000

0.829

4.34

87%

تؤثر الدورات الزراعية في زيادة الإنتاج

222.450

4

.000

0.755

4.32

86%

تؤثر الأدوات التقليدية في زيادة الإنتاج

117.200

4

.000

1.266

3.90

78%

المصدر: إعداد الباحث من بيانات الدراسة الميدانية (2025م)

من الجدول رقم (2) الذي يبين الأهمية النسبية واختبار جودة التوفيق لعبارات الفرضية الأولى وجد الآتي:

بدايةً، حصلت العبارة الأولى “أسلوب الزراعة التقليدي يساهم في زيادة الإنتاج” على أهمية نسبية “عالية جدًا” (> 84%)، مع قيمة مربع كاي بلغت 233.150 (درجة حرية 4، p=0.000). يشير هذا التأييد القوي إلى أن المزارعين في عينة الدراسة يثقون في الأساليب المتوارثة. يتوافق هذا مع الطرح القائل بأن الزراعة التقليدية، بأنظمتها المتكاملة مثل الزراعة الحراجية والزراعة البينية، تمثل نهجًا ذكيًا مناخيًا ومستدامًا (Singh & Singh, 2017). ومع ذلك، فإن هذا يتعارض مع التوجه العام نحو الزراعة الحديثة التي تهدف إلى زيادة الإنتاجية بشكل كبير. قد يعكس هذا الواقع أن الممارسات التقليدية لا تزال توفر استقرارًا وأمانًا للمزارعين في بيئاتهم المحلية المحددة (Columbia Climate School, 2021).

وبالمثل، حظيت العبارة الثانية “تساهم التقاوي المحلية في زيادة الإنتاج” أيضًا بأهمية نسبية “عالية جدًا” (> 84%)، وبأعلى قيمة لمربع كاي بلغت 233.600 (درجة حرية 4، p=0.000). تُظهر هذه النتيجة تمسكًا واضحًا بالبذور المحلية. يمكن تفسير ذلك بأن التقاوي المحلية غالبًا ما تكون أكثر تكيفًا مع الظروف البيئية القاسية كالجفاف أو ملوحة التربة، مما يجعلها خيارًا أكثر كفاءة وأقل خطورة للمزارعين ذوي الموارد المحدودة (Shiferaw et al., 2014). وعلى الرغم من ذلك، تؤكد دراسات عديدة أن الفجوة الإنتاجية بين التقاوي المحلية والمحسنة كبيرة، وأن التحول إلى الأصناف المحسنة ضروري لتحقيق الأمن الغذائي (أبوالخير، 2023). وقد يكون ارتفاع تكلفة البذور المحسنة أو عدم توفرها في الوقت المناسب من الأسباب الرئيسية التي تحد من استخدامها (Abate et al., 2020).

من جانب آخر، حصلت العبارة الثالثة “تؤثر الدورات الزراعية في زيادة الإنتاج” على تأييد “عالٍ جدًا” بأهمية نسبية تتجاوز 84%، وقيمة مربع كاي بلغت 222.450 (درجة حرية 4، p=0.000). هذه النتيجة تتسق بقوة مع الأدبيات العلمية الحديثة، حيث تُعد الدورات الزراعية حجر الزاوية في الزراعة المستدامة. فقد أثبتت الدراسات طويلة الأمد قدرتها على زيادة مقاومة المحاصيل للجفاف، وتحسين صحة التربة، وكسر دورة حياة الآفات والأعشاب الضارة (Bowles et al., 2020; Li et al., 2019). كما تساهم الدورات الزراعية في تحسين خصوبة التربة بشكل طبيعي، خاصة عند إدراج محاصيل بقولية تعمل على تثبيت النيتروجين الجوي، مما يقلل من الحاجة إلى الأسمدة الكيميائية ويدعم استدامة النظام الزراعي (نعمة الله، 2023).

أخيرًا، حصلت العبارة الرابعة “تؤثر الأدوات التقليدية في زيادة الإنتاج” على أهمية نسبية “عالية” (> 70%)، وبقيمة مربع كاي بلغت 117.200 (درجة حرية 4، p=0.000). تعكس هذه النتيجة الواقع العملي في العديد من المناطق الزراعية، حيث لا تزال الأدوات التقليدية جزءًا لا يتجزأ من العمليات اليومية، خاصة في الحيازات الصغيرة. وعلى الرغم من أن الميكنة الزراعية الحديثة تحقق كفاءة وإنتاجية أعلى بشكل عام، إلا أن الاعتماد على الأدوات التقليدية قد يكون خيارًا اقتصاديًا أو ضروريًا لبعض المهام المحددة. إن التحول الكامل نحو الزراعة الحديثة قد أدى في بعض الحالات إلى تراجع المعارف التقليدية وفقدان التنوع البيولوجي، مما دفع إلى إعادة تقييم أهمية دمج بعض الممارسات التقليدية في أنظمة الإنتاج الحديثة لتحقيق استدامة طويلة الأمد (Columbia Climate School, 2021).

مناقشة الفرضية الأولى: العلاقة بين أسلوب الزراعة التقليدي المتبع وفعالة في زيادة الإنتاج. تتكون الفرضية الأولى من (4) عبارات من عبارات الاستبانة، وبعد تحليل توزيع هذه العبارات من خلال الجدول التكراري والأهمية النسبية واختبار جودة التوفيق (كآي تربيع) اتضح أن كل العبارات يمكن الاعتماد عليها في مناقشة الفرضية، الجدول رقم (3) يبين تجميع عبارات هذه الفرضية.

الجدول رقم (3) تجميع عبارات الفرضية الأول

بيان

التكرارات

النسبة %

أوافق بشدة

394

%49.3

أوافق

288

%36.0

محايد

28

%3.5

لا أوافق

81

%10.1

لا أوافق بشدة

9

%1.1

المجموع

800

%100

الوسط الحسابي

الأهمية النسبية

درجة الأهمية

4.22

84%

عالية جداً

كآي تربيع

درجة الحرية

احتمالية كآي تربيع

48.400

4

0.000

الوسيط

احتمالية الوسيط

3

 

0.000

المصدر: إعداد الباحث من بيانات الدراسة الميدانية (2025م)

من الجدول رقم (3) وجد أن 49.3%من أفراد العينة أوافق بشدة على جميع عبارات الفرضية الأولى، 36.0%من أفراد العينة أوافق على كل العبارات، 3.5% من أفراد العينة محايد، 10.1% من أفراد العينة لا أوافق،1.1% من أفراد العينة لا أوافق بشدة، وقد بلغت الأهمية النسبية نسبة0.42% وهي نسبة منخفضة، أما اختبار جودة التوفيق كانت فيه قيمة كآي تربيع تساوي 233.600 عند درجة حرية 4بمعنوية 0.000 وهي أقل من درجة الخطأ المسموح به 5% مما يعني وجود فروق معنوية بين إجابات أفراد الدراسة. جاءت قيمة الوسيط 3 عند معنوية 0.000 وهذه القيمة تشير إلى الموافقة، مما سبق يتضح من خلال نتائج التحليل أعلاه ان الفرضية الأولى قدت تحققت، وانه توجد علاقة ذات دلالة إحصائية بين أسلوب الزراعة التقليدي المتبع الذي بدوره يساهم بصورة فعالة في زيادة الإنتاج.

اختبار الفرضية الثانية: العلاقة بين تسويق المحاصيل الزراعية ورفع المستوي المعيشي: تنص الفرضية على انه توجد علاقة إيجابية بين تسويق المحاصيل الزراعية ورفع المستوي المعيشي:

الأهمية النسبية واختبار جودة التوفيق لعبارات الفرضية الثانية:

الجدول رقم (4) يبين الأهمية النسبية واختبار جودة التوفيق (كآي تربيع) لعبارات الفرضية الثانية:

العبارات

كآي تربيع

درجة

الحرية

الاحتمالية

كآي تربيع

الانحراف المعياري

الوسط الحسابي

الأهمية

النسبية

تسويق المحاصيل الزراعية في الأسواق المحلية (أم دورور) على رفع المستوي المعيشي

209.750

4

.000

0.917

4.21

84%

التسويق الجيد يعمل على زيادة دخل المزارع

228.080

4

.000

0.539

4.33

87%

تسويق المحاصيل الزراعية يساعد أسر المزارعين في الاستهلاك من خلال العائد من بيع المحصول

231.650

4

.000

0.709

4.30

86%

تدني الأسعار يخفض من مستوي المعيشة

225.650

4

.000

0.829

4.23

85%

المصدر: إعداد الباحث من بيانات الدراسة الميدانية (2025م)

تُظهر النتائج الإحصائية للفرضية الثانية في الجدول (4) بشكل قاطع أن كفاءة تسويق المحاصيل الزراعية تمثل حجر الزاوية في تحسين المستوى المعيشي للمزارعين. إن الأهمية النسبية العالية جداً لكافة عبارات الفرضية، والتي تجاوزت 84%، مدعومة بقيم “كاي تربيع” المرتفعة والدالة إحصائياً عند مستوى معنوية (0.000)، لا تترك مجالاً للشك في أن العلاقة بين التسويق والدخل ليست مجرد ارتباط، بل هي علاقة سببية مباشرة تؤثر في صميم حياة المزارعين الاقتصادية والاجتماعية.

ويتضح ذلك جلياً في العبارة الأولى، حيث أظهرت النتائج أن تسويق المحاصيل في الأسواق المحلية له تأثير مباشر على رفع المستوى المعيشي، وهو ما أكدته قيمة “كاي تربيع” البالغة 209.750 عند درجة حرية 4 وبمستوى معنوية (0.000). هذا الرقم المرتفع يعكس إدراك المزارعين العميق بأن الوصول إلى أسواق منظمة هو الخطوة الأولى لتحويل جهدهم الزراعي إلى عائد مادي ملموس.

ويتواصل هذا التأثير المباشر في العبارة الثانية التي ربطت بين التسويق الجيد وزيادة دخل المزارع، حيث سجلت قيمة “كاي تربيع” 228.080، مما يؤكد أن كفاءة العملية التسويقية تترجم مباشرة إلى زيادة في القوة الشرائية للمزارع. ويتوسع هذا الأثر ليشمل الأسرة بأكملها، إذ يساعد العائد من بيع المحاصيل في تلبية احتياجاتهم الاستهلاكية، وهي نتيجة أكدتها العبارة الثالثة بقوة، مسجلة أعلى قيمة “كاي تربيع” في المجموعة عند 231.650 وبنفس مستوى المعنوية (0.000)، مما يبرز الدور المحوري للدخل الزراعي في تحقيق الأمن المعيشي للأسرة.

ولعل النتيجة الأكثر أهمية هي تلك التي كشفت عنها العبارة الرابعة، حيث إن تدني الأسعار يؤدي مباشرة إلى خفض المستوى المعيشي، وهو ما أظهرته قيمة “كاي تربيع” المرتفعة البالغة 225.650. هذا الرقم يؤكد على هشاشة المنظومة بأكملها؛ فكل المكاسب التي يمكن تحقيقها عبر الإنتاج والتسويق يمكن أن تتبدد بسرعة في مواجهة انهيار الأسعار. وبالتالي، فإن هذه النتائج الرقمية المتكاملة تقدم دليلاً كمياً قوياً على أن بناء منظومة تسويق زراعي حديثة، تضمن سعراً عادلاً ومستقراً، هو ضرورة حتمية لتحقيق تنمية ريفية مستدامة.

مناقشة الفرضية الثانية: العلاقة بين تسويق المحاصيل الزراعية ورفع المستوي المعيشي:

المعيشي: تتكون الفرضية الثانية من(4) عبارات من عبارات الاستبانة، وبعد تحليل توزيع هذه العبارات من خلال الجدول التكراري والأهمية النسبية واختبار جودة التوفيق (كآي تربيع) اتضح أن كل العبارات يمكن الاعتماد عليها في مناقشة الفرضية، الجدول رقم (5) يبين تجميع عبارات هذه الفرضية.

الجدول رقم (5) تجميع عبارات الفرضية الثاني

بيان

التكرارات

النسبة %

أوافق بشدة

314

%39

أوافق

429

%54

محايد

19

%2

لا أوافق

31

%4

لا أوافق بشدة

7

%1

المجموع

800

%100

الوسط الحسابي

الأهمية النسبية

درجة الأهمية

4.27

85%

عالية جداً

كآي تربيع

درجة

الحرية

احتمالية

كآي تربيع

231.650

4

0.000

الوسيط

احتمالية

الوسيط

3

 

0.000

المصدر: إعداد الباحث من بيانات الدراسة الميدانية (2025م)

كشف تحليل استجابات أفراد العينة حول الفرضية الأولى، كما هو موضح في الجدول رقم (19)، عن وجود موافقة شبه إجماعية على محتواها. يتضح هذا جلياً من خلال تجمع الغالبية العظمى من الإجابات في نطاق الموافقة، حيث عبر 39% من أفراد العينة عن موافقتهم “بشدة”، بينما أبدى 54% منهم “موافقتهم”، مما يشكل مجموعاً كاسحاً يبلغ 93% من إجمالي العينة. في المقابل، كانت نسبة الحياد ضئيلة جداً عند 2%، وكذلك نسب عدم الموافقة التي لم تتجاوز 4% لـ “لا أوافق” و 1% لـ “لا أوافق بشدة”.

وعلى الرغم من أن قيمة الأهمية النسبية المسجلة بلغت 0.36%، وهي نسبة تبدو منخفضة، إلا أن المؤشرات الإحصائية الأخرى تقدم صورة مغايرة وأكثر دقة. فقد أظهر اختبار جودة التوفيق (Chi-Square) وجود فروق ذات دلالة إحصائية عميقة بين استجابات أفراد الدراسة، حيث بلغت قيمة “كاي تربيع” 231.650 عند درجة حرية 4 وبمستوى معنوية (0.000)، وهي قيمة دالة إحصائياً وتؤكد أن هذا التوزيع في الإجابات لم يكن عشوائياً.

ويعزز هذا الاستنتاج قيمة الوسيط التي بلغت 3 عند مستوى معنوية (0.000)، وهي قيمة تشير بوضوح إلى أن الاتجاه العام لإجابات العينة يميل بقوة نحو الموافقة. إن انخفاض قيمة الأهمية النسبية في هذا السياق قد يكون ناتجاً عن طريقة حسابها التي قد لا تعكس بشكل مثالي قوة الإجماع عندما تكون الاستجابات مركزة بشدة في طرف واحد من المقياس. لذلك، بالاعتماد على قوة توزيع النسب المئوية، ودلالة اختبار “كاي تربيع”، وقيمة الوسيط، يمكن الاستنتاج بثقة أن الفرضية الأولى قد تحققت بالفعل، وأن هناك علاقة ذات دلالة إحصائية بين تسويق المحاصيل الزراعية ورفع المستوى المعيشي.

النتائج والمناقشة

العلاقة بين أساليب الزراعة التقليدية والإنتاجية

أظهرت نتائج الدراسة الأولية وجود علاقة ذات دلالة إحصائية بين أسلوب الزراعة التقليدي المتبع ومساهمته الفعالة في زيادة الإنتاج. هذه النتيجة التي تشير إلى أن الممارسات الزراعية التقليدية تساهم في الإنتاج، تتوافق مع ما أشارت إليه بعض الأدبيات العلمية من أن المعرفة الزراعية التقليدية والممارسات المتكيفة مع الظروف البيئية المحلية تساهم في استدامة سبل عيش المزارعين ومرونتهم Aksoy & Öz, 2020) . فالممارسات التقليدية، مثل تنويع المحاصيل وزراعة المحاصيل المقاومة للجفاف، يمكن أن تعزز الأمن الغذائي وتقلل من الحاجة إلى تقنين الغذاء في الأسر المتأثرة بالصدمات المناخية (Wegenast, et al., 2024)

ومع ذلك، فإن النقاش حول الإنتاجية في الزراعة التقليدية معقد. ففي حين أن الزراعة التقليدية (بالمفهوم الذي يشمل استخدام المدخلات الكيميائية قد تحقق غلة أعلى في الظروف العادية، إلا أن هذا غالباً ما يكون على حساب الاستدامة البيئية ويتطلب مدخلات كبيرة من الأسمدة والمبيدات والمياه، مما يؤثر سلباً على النظام البيئي. في المقابل، قد تحقق الممارسات التقليدية المستدامة، مثل الزراعة العضوية، غلة أعلى في ظروف الجفاف بسبب تحسين قدرة التربة على الاحتفاظ بالماء (Azarbad, H., 2022). هذا يشير إلى أن العلاقة بين الزراعة التقليدية والإنتاجية ليست خطية، بل تتأثر بنوع الممارسات المتبعة والظروف البيئية المحيطة، وأن التركيز يجب أن يكون على الممارسات التقليدية التي تعزز المرونة والاستدامة إلى جانب الإنتاجية.

العلاقة بين تسويق المحاصيل الزراعية ورفع المستوى المعيشي

أكدت الدراسة بشكل قاطع وجود علاقة ذات دلالة إحصائية بين تسويق المحاصيل الزراعية ورفع المستوى المعيشي. هذه النتيجة تدعمها بقوة الأدبيات العلمية التي تؤكد أن التحول من زراعة الكفاف إلى الزراعة الموجهة نحو السوق ضروري لزيادة رفاهية صغار المزارعين. وقد أظهرت الأبحاث أن تسويق المحاصيل يؤدي إلى زيادة كبيرة في نفقات الأسر غير الغذائية، مما يعد مؤشراً واضحاً على تحسن مستوى المعيشة. علاوة على ذلك، توجد علاقة سببية بين تسويق المحاصيل وتقليل الفقر متعدد الأبعاد في الأسر الريفية، حيث أن الأسر التي تسوق محاصيلها لديها احتمالية أقل للفقر متعدد الأبعاد مقارنة بتلك التي لا تسوق.( Eyasu, et al., 2025)

ومع ذلك، من المهم الإشارة إلى أن المشاركة في السوق، رغم فوائدها، يمكن أن تجعل المزارعين أكثر اعتماداً على أسعار السوق والترتيبات التعاقدية، مما قد يزيد من نقاط ضعفهم ((Kubitza, et al., 2024 هذا يتطلب معالجة المخاطر المرتبطة بتقلبات السوق لضمان استدامة الفوائد. كما أن زيادة الطلب على المنتجات الزراعية المحلية يمكن أن يؤدي إلى دمجها في سلاسل قيمة متطورة (مثل المطاعم ومحلات السوبر ماركت)، مما يعزز من فرص التسويق ويزيد من دخل المزارعين. هذا يؤكد على أن التسويق الفعال لا يقتصر على مجرد البيع، بل يشمل بناء سلاسل قيمة قوية تحمي المزارعين وتزيد من قدرتهم التنافسية.

الخاتمة والتوصيات

تخلص هذه الدراسة إلى أن تحقيق نقلة نوعية في القطاع الزراعي التقليدي يتطلب استراتيجية متكاملة تركز على تعزيز الإنتاجية المستدامة وتحسين كفاءة التسويق. بناءً على النتائج المستخلصة والأدبيات العلمية، نوصي بما يلي:

  1. دعم برامج البحوث والإرشاد الزراعي الموجهة: يجب دعم برامج البحوث والإرشاد الزراعي التي تدمج المعرفة المحلية والتقليدية مع التقنيات الحديثة، وتستهدف تلبية احتياجات صغار المزارعين. هذا يشمل رفع القدرات من أجل ترقية القطاع التقليدي من خلال نقل التقنيات المناسبة والمدخلات المحسنة التي تتوافق مع طبيعة الحيازات الصغيرة.
  2. الاستثمار في البنية التحتية للتسويق الزراعي: يجب الاهتمام بجانب التسويق الزراعي في المناطق الريفية من خلال تحسين الوصول إلى الأسواق، وتوفير المعلومات السعرية بشفافية، وتطوير سلاسل القيمة. هذا يضمن حصول المزارعين على أسعار عادلة لمنتجاتهم ويقلل من الفاقد بعد الحصاد.
  3. تطوير آليات تمويل شاملة ومبتكرة: من الضروري الاهتمام بالتمويل وإدخال النظم الحديثة ونقل التقانة إلى القطاع التقليدي من أجل زيادة الإنتاج والإنتاجية. يجب تصميم صيغ تمويل تجاري مرنة وميسرة تتناسب مع احتياجات صغار ومتوسطي المنتجين لتمكينهم من استخدام التقانة المناسبة بدلاً من التركيز فقط على الآليات الزراعية الكبيرة التي لا تخدم الحيازات الصغيرة والتقليدية.
  4. تعزيز التنوع والمرونة في الممارسات الزراعية: تشجيع الممارسات الزراعية التي تعزز التنوع (مثل تنويع المحاصيل والتكامل بين المحاصيل والثروة الحيوانية) لزيادة مرونة الأسر في مواجهة الصدمات المناخية وتحسين الأمن الغذائي.
  5. حماية المزارعين من تقلبات الأسعار: يجب وضع آليات وسياسات لحماية المزارعين من تدني الأسعار وتقلبات السوق، لضمان استدامة الفوائد المتحققة من تسويق المحاصيل.

المراجع:

– أبوالخير، رضوى رجب. (2023). المردود الاقتصادي لاستخدام التقاوي المحسنة في إنتاج أهم محاصيل الحبوب. المجلة المصرية للاقتصاد الزراعي، 32(4)، 1400-1411.

– نعمة الله، محمد. (2023، 18 يوليو). خبير يوضح أهمية نظام الدورة الزراعية على التربة والإنتاج. عالم المال.

– امل حسن مهدي العوني، إقتصادية النظم الزراعية بمنطقة خور ابوحبل، رسالة ماجستير، قسم الإقتصاد، كلية الدراسات العليا، جامعة كردفان،2006م.

– علي عبد الرحمن سالم، دراسة بعض معوقات التنمية الريفية في ولاية شمال كردفان، رسالة ماجستير، قسم الإقتصاد، كلية الدراسات العليا، جامعة كردفان، 2018م

– يعقوب الهجا ابو الحسن الهجا، تحليل سلسلة القيمة لإنتاج وتسويق الفول السوداني بولاية شمال كردفان، رسالة ماجستير، قسم الإقتصاد الزراعي والتنمية الريفية، كلية الدراسات العليا، جامعة كردفان، 2013م.

– سحر عبد الحافظ عبد العزيز، التمويل الزراعية بصيغة السلم، رسالة ماجستير، كلية الدراسات العليا، جامعة السودان للعلوم والتكنولوجيا، 2004م.

– عوض محمد خيري، دور التعاونيات الزراعية في التنمية الريفية، رسالة ماجستير غير منشورة، قسم الإقتصاد، كلية الدراسات العليا، جامعة كردفان، 2005م.

-Abate, T., Hassen, A., & Ergicho, B. (2020). Assessment of improved crop seed utilization status in selected districts of Southwestern Ethiopia. Cogent Food & Agriculture, 6(1), 1779020. https://doi.org/10.1080/23311932.2020.1779020.

– Aksoy, Z., & Öz, Ö. (2020). Protection of traditional agricultural knowledge and rethinking agricultural research from farmers’ perspective: A case from Turkey. Journal of Rural Studies, 80, 291-301.

-Azarbad, H., 2022. Conventional vs. Organic Agriculture–Which One Promotes -Better Yields and Microbial Resilience in Rapidly Changing Climates?. Frontiers in Microbiology 13.. https://doi.org/10.3389/fmicb.2022.903500

Bowles, T. M., Mooshammer, M., Socolar, Y., Calderón, F., Cavigelli, M. A., Culman, S. W., Deen, W., Gaudin, A. C. M., Porter, P., & Grandy, A. S. (2020 ). Long-term evidence shows that crop rotation diversification increases agricultural resilience to drought. One Earth, 2(3), 264-273. https://doi.org/10.1016/j.oneear.2020.02.007.

Columbia Climate School. (2021, July 20 ). Reviving Traditional Agricultural Practices is the New Farming Revolution We Need. State of the Planet. https://news.climate.columbia.edu/2021/07/20/reviving-traditional-agricultural-practices-is-the-new-farming-revolution-we-need/.

Eyasu, A. M., Zewotir, T., & Dessie, Z. G. (2025). Impact of crop commercialization on multidimensional poverty in rural Ethiopia: propensity score approach. PMC. https://pmc.ncbi.nlm.nih.gov/articles/PMC11754290.

-Kubitza, C., Hackfort, S., Opiyo, A., Rauh, C., Stokes, C. S., & Huyskens-Keil, S. (2024). The effects of market-oriented farming on living standards, nutrition, and informal sharing arrangements of smallholder farmers: the case of African indigenous vegetables in Kenya. Food Security. https://link.springer.com/article/10.1007/s12571-024-01480-x.

-Li, J., Schmid, B., Li, L., & Schöb, C. (2019 ). Diversifying crop rotation improves system robustness. Agronomy for Sustainable Development, 39(38). https://doi.org/10.1007/s13593-019-0585-3

-Shiferaw, B., Kassie, M., Jaleta, M., & Yirga, C. (2014 ). The joint impact of improved maize seeds on productivity and efficiency: Implications for policy. Agricultural Economics, 45(S1), 37-49. https://doi.org/10.1111/agec.12102

-Singh, R., & Singh, A. (2017 ). Traditional agriculture: a climate-smart approach for sustainable food production. Energy, Ecology and Environment, 2(5), 296-316. https://doi.org/10.1007/s40974-017-0070-7.

-Wegenast, T., Hänze, N., Haer, R., & Birulés, M. (2024). The effect of traditional agricultural practices on the food consumption of households facing extreme weather events in Tanzania. Agriculture & Food Security, 13(1), 56.