The Impact of Social Studies Teachers in Promoting National Unity among University Students in Jordan

أثر معلمي الدراسات الاجتماعية في تعزيز الوحدة الوطنية بين طلبة الجامعات في الأردن

Basma Mohammad Al-Hawamdeh1

1 Associate Professor in Social Studies at Jerash University, Ministry of Education and Higher Education in Jordan.

Email: d.hawamdeh.basma@gmail.com; https://orcid.org/my-orcid?orcid=0000-0003-1523-066.

https://www.webofscience.com/wos/author/record/KIA-

DOI: https://doi.org/10.53796/hnsj612/6

Arabic Scientific Research Identifier: https://arsri.org/10000/612/6

Volume (6) Issue (12). Pages: 75 - 83

Received at: 2025-11-05 | Accepted at: 2025-11-11 | Published at: 2025-12-01

Download PDF

Cite / الاستشهاد

Abstract: The study aimed to measure the impact of social studies teachers in promoting national unity among university students in Jordan. To achieve this, the descriptive analytical approach was followed by applying the study tool, which consisted of 20 Items that included two domains. On 384 male and female undergraduate students at Jerash Private University. The results showed that social studies teachers have a high role in promoting national unity among university students. The results also showed that the level of national unity among university students is high. The results also showed a statistically significant impact of social studies teachers in promoting national unity among university students in Jordan. Based on the results reached, the study recommends working to increase students' awareness of the importance of their belonging to their cultures, their society, and their country and their unity with this culture that supports the culture of national unity. By activating social studies courses more comprehensively.

Keywords: Social studies, national unity, universities, university professors.

المستخلص: هدفت الدراسة إلى قياس أثر معلمي الدراسات الاجتماعية في تعزيز الوحدة الوطنية بين طلبة الجامعات في الأردن. ولتحقيق ذلك، تم اتباع المنهج الوصفي التحليلي من خلال تطبيق أداة الدراسة التي تضمنت (20) فقرة موزعة على مجالين، على عينة مكونة من (384) طالبًا وطالبة من طلبة البكالوريوس في جامعة جرش الأهلية. أظهرت النتائج أن لمعلمي الدراسات الاجتماعية دورًا كبيرًا في تعزيز الوحدة الوطنية بين طلبة الجامعات. كما بينت النتائج أن مستوى الوحدة الوطنية لدى طلبة الجامعات مرتفع. وأظهرت النتائج أيضًا وجود أثر دال إحصائيًا لمعلمي الدراسات الاجتماعية في تعزيز الوحدة الوطنية بين طلبة الجامعات في الأردن. وبناءً على النتائج التي تم التوصل إليها، توصي الدراسة بالعمل على زيادة وعي الطلبة بأهمية انتمائهم لثقافتهم ومجتمعهم ووطنهم، وتعزيز وحدتهم مع هذه الثقافة التي تدعم ثقافة الوحدة الوطنية، وذلك من خلال تفعيل مقررات الدراسات الاجتماعية بشكل أكثر شمولًا.

الكلمات المفتاحية: الدراسات الاجتماعية، الوحدة الوطنية، الجامعات، أساتذة الجامعات.

Introduction:

The last decades of the last century witnessed successive events and rapid developments that made the process of change inevitable in most countries of the world, and as a result, some societies became concerned about this rapid change (Boufelja, 2015). Therefore, modern societies became more interested in promoting the concept of national unity, and it began to capture the attention of thinkers and workers in the educational field (Al-Harbi, 2022). Especially in the twenty-first century’s first decade, which was characterized by differences in values ​​and rules of behavior, the growth of violence, the disintegration of relationships, and the intertwining of interests (Wadi, 2020).

In order for national unity to be based on awareness, it must be done through deliberate education supervised by the state (Abdul Wahab, 2021). Through it, the citizen student is introduced to many concepts of national unity and its characteristics, such as the concept of the homeland, the government, the political system, society, political participation and its importance, social responsibility and its forms, the law, the constitution, rights and duties, and other concepts of national unity and its foundations (Al-Shorbagy, Mohamed & Khader, 2021).

There are many institutions that shape the concept of national unity and develop the feeling of it in the individual, including the family, religious institutions, comrades, work groups, schools, and public and private universities (Al-Suwaie, Al-Tayeb & Saliha, 2021), which are unique in their great responsibility in developing this concept through social studies professors in particular (Wongeh, Adeniran, & Welgba, 2022). Shaping the citizen’s personality and commitments, and providing him with the knowledge and skills necessary to enhance this concept, universities fulfil this responsibility through directed and intended curricula to enhance national unity (Uche, Okonkwo & Peter, 2020).

The purpose of enhancing the concept of national unity among university students is to provide education aimed at developing the collective feeling that connects the members of the group. fills their hearts with love for the homeland and the group and enhances the feeling of each individual within it of belonging to his society, values, system, environment and culture (Parchami, 2023). So that this feeling rises to the point of saturating the individual with the culture of belonging, and this is represented in his behavior and in his defense of the values ​​of the group and the homeland and their gains (Ogeh & Alfred, 2023). Strengthening national unity includes developing the individual’s knowledge of his society and his positive interaction with its members, in a way that contributes to the formation of good citizens who are able to judge what they encounter inside and outside their society, aware of their duties and rights without excess or deficiency (Nwokeji & Iwunna, 2020).

Based on the nature of the university as a scientific, educational, teaching and developmental institution, attention is always directed towards it in preparing qualified and scientific cadres, energies and human forces (Freeh, 2021). Also, enhancing the concept of national unity and instilling the values ​​and beliefs of society in the souls of students and forming positive attitudes towards it, all of this happens on the basis that these students are the wealth of the nation and the means and goal of comprehensive development (Sirat & Nadry, 2023).

In view of the events and changes that Muslim countries have been going through recently, difficult political and economic circumstances and a fierce attack against Islam and Muslims. and in view of the adoption of extremist foreign thought by some, this prompted sincere thinkers to put forward the idea of ​​(national unity – values ​​and constants) as a title for the meeting of educational work leaders (Osman & Mensah, 2020). This made its echoes respond to thinkers and researchers, and a desire to know the reality of educational curricula in an important matter of society, which is national unity (Kakuba, 2022). In addition, is a contribution from the researcher to know the impact of social studies teachers in enhancing national unity among university students in Jordan. The curricula they study contain many knowledge, skills, values ​​and trends that lead to developing a sense of national unity and guiding behavior associated with this concept. This paper gains special importance in its concept and timing.

National unity unites and brings together all the sons of one nation, no matter how different their ideologies and intellectual orientations are, towards a positive conscience and feelings that push and motivate them towards unified practices and behaviors towards their national and foreign issues (Oben, 2021). It also expresses the collective feeling that connects the members of the group and fills their hearts with love for the nation and the group, readiness to exert maximum effort in order to build them, and readiness to die in defense of them (Ojo, 2022).

Importance of the study:

The importance of this study can be determined by identifying the concept of national unity among university students. Moreover, it entails in terms of the importance of enhancing the concept of national unity among university students in the Hashemite Kingdom of Jordan. In terms of it being a continuous process to deepen the sense and feeling of duty towards society. and developing a sense of belonging to the nation and pride in it. In addition, instilling a love for the system and national trends, goodwill, understanding and cooperation among citizens, a sense of unity with them, and respect for systems and instructions. To acquaint students with their country’s institutions and civilized organizations, and that they did not come about by chance, but rather are the result of diligent work and continuous struggle, and therefore it is their duty to respect and observe them.

Study objectives:

The current study aims to shed light on the concept of national unity and the role of social studies teachers in promoting national unity among university students in Jordan.

Study question:

Is there an impact of social studies teachers in promoting national unity among university students in Jordan?

Study methodology:

The current study followed the descriptive analytical approach in achieving the study objectives and answering its main question. The descriptive analytical approach is concerned with describing the phenomenon in its basic form, with an interest in developing a descriptive framework for it. Then work on collecting information about this phenomenon to identify this phenomenon through information and identify the reasons for its occurrence and reach results to solve this problem.

Study population:

This study was conducted on undergraduate students at Jerash Private University for the academic year 2024/2025 AD, numbering almost 4000 male and female students.

Study sample:

The study tool was applied to a sample of 384 male and female students from undergraduate students at Jerash Private University. They were selected using the simple random sample method, in cooperation with social studies teachers at the university. After preparing the tool through Google Forms and distributing it to students.

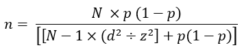
Sample size: The sample size was determined based on the following Stephen Thompson equation (1982):

Where: N is the number of community members; P is the probability value if it is unknown and equals 0.05; d is the error rate and is usually 0.05; Z is the standard score and is 1.96 for a confidence level of 95%.

Study tools:

To collect data related to the study question, a questionnaire consisting of 20 Items was developed and divided into two dimensions. The first dimension relates to social studies teachers, while the second dimension covers the axis of national unity. The development of the study tool was based on several previous studies related to the subject of the study, namely, the study of each of

Verifying the validity of the tool for application:

The validity and reliability of the study tool were verified by following the following procedures:

  1. Content validity: The apparent validity of the study tool was verified by presenting it to 5 arbitrators from faculty members at Jordanian private universities. To express their opinion on the validity of the tool for application, and the extent to which the Items belong to the dimension to which they belong. As well as their clarity and linguistic integrity. Accordingly, the wording of a number of Items was modified, and three Items were deleted. The final form of the tool consists of 20 Items that are valid for application to the basic study sample. The construct validity of the study tool was also verified by applying it to a survey sample of 30 male and female students. The correlation coefficient of the paragraph score with the total score of the axis to which the paragraph belongs and with the total score of the study tool was estimated, as shown in the following Table 1:

Table 1 Correlation coefficients of paragraph scores with the domain and the total score of the tool

NU

Correlation coefficient with the Domain

Correlation coefficient with the instrument

NU

Correlation coefficient with the Domain

Correlation coefficient with the instrument

1

.634**

.713**

11

.832**

.846**

2

.618**

.743**

12

.822**

.847**

3

.667**

.772**

13

.815**

.823**

4

.664**

.751**

14

.804**

.834**

5

.292**

.731**

15

.813**

.852**

6

.333**

.776**

16

.827**

.834**

7

.307**

.820**

17

.826**

.842**

8

.242**

.802**

18

.811**

.808**

9

.792**

.791**

19

.784**

.866**

10

.808**

.813**

20

.781**

.830**

First domain

.866**

Second domain

.937**

The table above shows that the correlation coefficients of the study tool dimensions’ scores with the total score of the tool ranged between (0.866-0.937). The correlation coefficients of the scores of the Items of the social studies teachers’ dimension with the scores of the same axis ranged between (0.242-0.808). And with the scores of the tool as a whole were between (0.713-0.820), and the correlation coefficients of the scores of the Items of the national unity dimension with the scores of the same axis ranged between (0.781-0.832). Moreover, with the scores of the tool as a whole were between (0.808-0.866.), and they were all statistically significant at the significance level 0.01). Therefore, it can be confirmed that the study tool with its various dimensions and Items enjoys construct validity and suitable for application to the basic sample.

B. Reliability: The Reliability of the study tool was verified by estimating the Cronbach’s alpha coefficient after applying it to a survey sample consisting of (30) male and female students, as follows:

Table 2

Reliability coefficients of the study tool

NU

Domain

Item nu

Reliability coefficients

1

Social Studies Teachers

15

908.

2

National Unity

15

907.

The Tool

45

914.

It is clear from the table above that the Reliability coefficient of the study tool was estimated at (.914). The Reliability coefficient of the social studies teachers’ dimension ranged from (0.908), to the national unity dimension (0.907). All of them exceeded the specified percentage for considering the tool stable and suitable for application, estimated at (0.65) according to Owda (2014).

The Criteria for interpreting the study tool scores:

Because the study tool followed the five-point Likert scale (strongly agree, agree, neutral, disagree, strongly disagree), which is represented numerically (5; 4; 3; 2; 1). The following Criteria were derived for interpreting the scores of the study tool Domain:

Table 3

Criteria for interpreting the study tool scores

NU

Range

Explanation

1

1.79 — 1.00

Very Low

2

2.59 — 1.80

Low

3

3.39 — 2.60

Medium

4

4.19 — 3.40

High

5

5.00 — 4.20

Very High

Statistical methods used to process the study data:

The one-way ANOVA test was used to measure the effect of social studies teachers in promoting national unity among university students related to the main study question. The means and standard deviations of the responses of the study sample members were also calculated. The validity of the tool was verified through Pearson’s correlation coefficient and its Reliability through Cronbach’s alpha coefficient.

Presentation and interpretation of the study results:

The main study question: Is there an effect of social studies teachers in promoting national unity among university students in Jordan?

To answer this question, the means and standard deviations of the responses of the study sample members were calculated on the tool that was developed for this purpose, and the results were as follows:

Table 4

Descriptive statistics of the responses of the study sample members

 

Social Studies Teachers

National Unity

N

Valid

384

384

Missing

0

0

Mean

4.5646

4.5447

Median

4.8000

4.7000

Std. Deviation

.54018

.50517

It is clear from Table 4 that social studies teachers have a very high role in promoting national unity among university students in Jordan. It is also clear from the previous table that the level of national unity among Jordanian university students is very high. This can be explained in light of the social and national fabric that prevails in the university environment. To verify the statistical significance of the effect of social studies teachers in promoting national unity among university students in Jordan. The one-way analysis of variance test was relied upon as follows:

Table 5

One-way ANOVA Test to measure the effect of social studies teachers in promoting national unity among university students in Jordan

 

Sum of Squares

df

Mean Square

F

Sig.

Between Groups

90.106

10

9.011

440.184

.000

Within Groups

7.635

373

.020

   

Total

97.741

383

     

Table 5 shows that there is a statistically significant effect of social studies teachers in promoting national unity among university students in Jordan. This result can be inferred from the significance level (sig) value, which was less than (0.05). This confirms that social studies teachers have an effective role in promoting the principles of national unity among university students.

Discussion of the results:

The results of the study showed a statistically significant effect of social studies teachers in promoting national unity among university students in Jordan. This can be explained in light of the fact that national unity is a social issue that links the individual to his country, environment and society (Shodunke & Subair, 2020). Therefore, these principles and values ​​must grow in light of citizenship knowledge. They are embodied in his behavior and deepened in his conscience until they become part of the community entity (Femi, Ola & Ibihunwa, 2024). Here, the role of education emerges as a tool for society to transfer cultural heritage with all its components to members of society. The role of social studies teachers also emerges, specifically, as one of the components of social upbringing institutions that undertake the task of educating young people on the principles and values ​​of national unity (Boufelja, 2015).

Social studies teachers also play an important role in promoting the values ​​and principles of national unity among students, by instilling these values ​​in them through social studies curricula that represent social pillars that contribute to achieving social and moral balance for students (Al-Harbi, 2022). Thus achieving comprehensive social development for them. In a way that makes them active individuals in building society, as strengthening the values ​​and principles of national unity among students is one of the basic necessities that fall on the shoulders of all university professors in general and social studies teachers in particular (Wadi, 2020).

The process of strengthening national unity is the result of a set of efforts made by official and unofficial community institutions, educational and non-educational (Wongeh, Adeniran & Welgba, 2022). It cannot be learned entirely in books and curricula but rather depends primarily on practices and applications that take place inside or outside the educational institution (Nwokeji, & Iwunna, 2020). It is also an ongoing process; so work must be done permanently to form the community citizen, develop his awareness of the system of his rights and duties, consolidate his behavior and develop his level of participation in the dynamics of the society in which he belongs (Parchami, 2023). Education on national unity is essentially education on responsibility, as it is supposed to make the citizen fully responsible and an effective participant in his society (Freeh, 2021).

University professors have an active role in supporting the national unity of the sons of Jordanian society, by activating the role of religion in this, by adopting the values ​​that religion brought (Sirat & Nadry, 2023). It urges human goodwill, tolerance, acceptance and respect for others, spreading peace and standing in the face of sedition (Osman & Mensah, 2020). In an attempt to fortify the awareness of their students against the claims promoted by foreign powers, which accuse Arab-Islamic culture of being devoid of tolerance and acceptance of others (Oben, 2021).

The role of social studies professors in universities is also determined in promoting national unity among university students by creating a suitable educational and learning climate or environment that encourages these students to acquire and absorb this concept and the values ​​associated with it (Shodunke & Subair, 2020). The university professor being a good role model for students achieves this. In addition, playing the role of a virtuous educator whose personality embodies that concept and those values ​​and is closer to democracy (Abdul Wahab, 2021). In addition, having friendly relations between him and his students, respecting them, listening to them and allowing them to express their opinions freely (Al-Suwaie, Al-Tayeb & Saliha, 2021). In addition, the student activities that he practices with these students play an important and prominent role in promoting national unity by embodying the spirit of cooperation, volunteer work, tolerance, justice, equality and participation (Al-Shorbagy, Mohamed & Khader, 2021).

Conclusions:

Social studies teachers play a prominent role in rooting the meaning of national unity by instilling the spirit of initiative to work in the souls of university students. Through their participation in charitable and volunteer work.

Recommendations:

The current study recommends working on increasing students’ awareness of the importance of belonging to their cultures, their community, and their country, and their unity with this culture that supports the culture of national unity. By activating social studies curricula in a more comprehensive manner.

Sources and references:

Abdul Wahab, A. (2021). National Identity and History Curricula. Journal of the College of Education, 1(126), 207-220.

Al-Harbi, A. (2022). The role of the history curriculum in enhancing the dimensions of national identity among secondary school students in the curriculum system in the Kingdom of Saudi Arabia. Journal of Research in Education and Psychology, 37(4), 109-152.

Al-Shorbagy, A., Mohamed, A., & Khader, E. (2021). The effectiveness of a theatrical program in developing some dimensions of national identity for primary school students. Journal of Qualitative Education Research, 63, 51-92.

Al-Suwaie, M., Al-Tayeb, A., & Saliha, A. (2021). Educational curricula and their role in consolidating national identity, an analytical study. Libyan International Journal, 20, 1-12.

Boufelja, G. (2015). The role of education in promoting the values ​​of citizenship and national unity. Journal of Human Resources, 11(1), 345-381.

Femi, A. E., Ola, J. O., & Ibihunwa, O. E. (2024). Functional citizenship education and the challenges of democracy and national unity in Nigeria: citizenship. CUSTECH International Journal of Education1(1), 175-186.‏

Freeh, W. K. (2021). The Role of the Twentieth Revolution in Strengthening National Unity. Arab Gulf49(2), 127-164.‏

Kakuba, S. J. (2022). Multiparty Activism in Uganda: The Experience of National Resistance Movement and National Unity Platform. American Journal of Qualitative Research6(2), 35-64.‏

Nwokeji, I. C., & Iwunna, P. U. (2020). NATIONAL UNITY; A PREREQUISITE FOR. African Journal of Historical Sciences in Educațion Vol16(1), 76-84.‏

Oben, A. I. (2021). Higher Education Objectives Impact towards the Attainment of Cameroon’s Vision 2035 with Respect to Poverty Alleviation, and National Unity and Consolidation of Democracy. Open Access Library Journal8(6), 1-21.‏

Ogeh, O. W., & Alfred, D. O. (2023). Unity schools and national integration in Nigeria: issues challenges and the way forward. GPH-International Journal of Educational Research6(04), 20-25.

Ojo, S. O. (2022). Constitutional restructuring: a panacea to national unity, cohesion and security in nigeria. ACU Journal of Social and Management Sciences3(1), 49-58.‏

Osman, S., & Mensah, E. G. (2020). Fostering National Unity and National Consciousness in Ghana through Social Studies Education. Social Education Research, 1(2), 187-199.‏

Owda, A. (2014). Measurement and Evaluation in the Teaching Process. Second ed., Amman: Dar Al Amal for Publishing and Distribution.

Parchami, D. (2023). Analyzing the Inclination towards National Unity and Its Influencing Factors. Strategic Research on Social Problems12(3), 63-98.‏

Shodunke, B. A., & Subair, S. T. (2020). Federal character principle and national unity among higher education institutions staff in Nigeria: perceptions and threats. Bulgarian Journal of Science and Education Policy14(1), 5-25.‏

Sirat, A. W., & Nadry, Z. (2023). Assessing the Elements of National Unity in the Context of Afghanistan’s Contemporary History Subject from the Perspective of Students. Journal of Humanities and Social Sciences Studies5(4), 01-07.‏

Thompson, J. B. (1982). Composition space: an algebraic and geometric approach. Mineralogical Society of America Reviews in Mineralogy10, 1-31.‏

Uche, U. E., Okonkwo, C., & Peter, A. S. (2020). Nigeria and the challenges of national unity. IJAEDU-International E-Journal of Advances in Education6(16), 54-65.‏

Wadi, A. (2020). Dimensions of identity and its relationship to the state and the process of its construction. Aljazayiria Journal of Political Studies, 7(1), 44-58.

Wahab, S., Sahibi, M. S., Faizul, H. I. M., Ali, N. A. A. M., & Daham, N. I. M. (2022). The Effectiveness of the “National Prosperity and Unity Module” among University Students. Journal of Algebraic Statistics13(3), 2860-2862.‏

Wongeh, N. E., Adeniran, A. S., & Welgba, R. Y. (2022). Education and National Unity. Sapientia Foundation Journal of Education, Sciences and Gender Studies4(3), 165-171.‏